1. 基础知识
1.1. 与距离、速率和时间相关的基础公式
\[ d = {rt} \tag{1.1} \]
\( d \) 表示距离(以英里、英尺、千米、米等单位给出), \( t \) 表示时间(小时、分钟、秒等), \( r \) 表示(匀速
固定、稳定、恒定或平均的速度。
\[ r = \frac{d}{t} \tag{1.2} \]
\[ t = \frac{d}{r} \tag{1.3} \]
在下图中,我们将 \( {d}_{1} \) 与 \( {d}_{2} \) 相加得到总距离 \( d : d = {d}_{1} + {d}_{2} \) ,并将 \( {t}_{1} \) 与 \( {t}_{2} \) 相加得到总时间 \( t : t = {t}_{1} + {t}_{2} \) 。
然而,我们不添加 \( {r}_{1} \) 和 \( {r}_{2} : r \neq {r}_{1} + {r}_{2} \) 。
\[ r = \frac{d}{t} = \frac{{d}_{1} + {d}_{2}}{{t}_{1} + {t}_{2}} = \frac{{d}_{1} + {d}_{2}}{\frac{{d}_{1}}{{r}_{1}} + \frac{{d}_{2}}{{r}_{2}}} = \frac{{r}_{1}{r}_{2}\left( {{d}_{1} + {d}_{2}}\right) }{{d}_{1}{r}_{2} + {d}_{2}{r}_{1}} \tag{1.2.1} \]
\[ \text{If}{d}_{1} = {d}_{2}, r = \frac{{r}_{1}{r}_{2}\left( {{d}_{1} + {d}_{2}}\right) }{{d}_{1}{r}_{2} + {d}_{2}{r}_{1}} = \frac{{2d}{r}_{1}{r}_{2}}{d\left( {{r}_{2} + {r}_{1}}\right) } = \frac{2{r}_{1}{r}_{2}}{{r}_{1} + {r}_{2}} \tag{1.2.2} \]

1.2.两人同向行走:
将Alex的速度记为 \( {r}_{A} \) ,Bob的速度记为 \( {r}_{B} \) ,且 \( {r}_{A} > {r}_{B} \) 。设他们之间的距离为 \( d \) 。
为简化此问题,可假设鲍勃静止不动,而亚历克斯以相对速度 \( \left( {{r}_{A} - {r}_{B)}}\right. \) 行走,在时间 \( t \) 内走完距离 \( d \) 。
\( d = \left( {{r}_{A} - {r}_{B}}\right) t \) (1.4)
因此,Alex追上Bob所需的时间为: \( t = \frac{d}{{r}_{A} - {r}_{B}} \) (1.5)

1.3.两人相向而行
亚历克斯的速度是 \( {r}_{A} \) ,鲍勃的速度是 \( {r}_{B} \) ,他们之间的距离是 \( d \) 。
这一次,可以认为鲍勃静止不动,而亚历克斯以相对速度 \( \left( {{r}_{A} + {r}_{B)}}\right. \) 行走,用时间 \( t \) 走完距离 \( d \) 。
\[ d = \left( {{r}_{A} + {r}_{B}}\right) t \tag{1.6} \]
亚历克斯与鲍勃相遇所需的时间为: \( t = \frac{d}{{r}_{A} + {r}_{B}} \) (1.7)

1.4. 顺流而下的船
该船发动机在静水中为船提供的速度为 \( {r}_{E} \) 。水流速度为 \( {r}_{C} \) ,在时间 \( t \) 内行驶的距离为 \( d \) 。
为解决这类问题,可以认为船以相对速度 \( \left( {{r}_{E} + {r}_{C}}\right) \) 行驶距离 \( d \) 所需时间为 \( t \) 。
\[ d = \left( {{r}_{E} + {r}_{C}}\right) t \tag{1.8} \]
船行驶距离 \( d \) 所需时间为: \( t = \frac{d}{{r}_{E} + {r}_{C}} \) (1.9)

1.5 逆流而上的船
船的引擎在静水中为船提供的速度为 \( {r}_{E} \) ,河水流速为 \( {r}_{C} \) ,在时间 \( t \) 内行驶的距离为 \( d \) 。
可以认为船以相对速度 \( \left( {{r}_{E} - {r}_{C}}\right) \) 行驶距离 \( d \) 。
\[ d = \left( {{r}_{E} - {r}_{C}}\right) t \tag{1.10} \]
船行驶距离 \( d \) 所需时间为: \( t = \frac{d}{{r}_{E} - {r}_{C}} \) (1.11)

1.6 相遇后继续行走
Alex从 \( A \) 走向 \( B \) ,Betsy同时从 \( B \) 走向 \( A \) 。经过 \( t \) 小时后,他们相遇,然后继续行走。Alex到达 \( B \) 还需 \( {t}_{1} \) 小时,Betsy到达 \( A \) 还需 \( {t}_{2} \) 小时。假设两人速度恒定,则 \( t \) 与 \( {t}_{1},{t}_{2} \) 满足以下关系:
\[ t = \sqrt{{t}_{1} \times {t}_{2}} \tag{1.12} \]
证明:
设 \( {V}_{a} \) 和 \( {V}_{b} \) 分别为Alex和Betsy的速度,

由于相遇前Alex走的距离等于相遇后Betsy走的距离,因此:
\[ {V}_{a} \times t = {V}_{b} \times {t}_{2}, \tag{1} \]
相遇后Alex走的距离等于相遇前Betsy走的距离,因此:
\[ {V}_{a} \times {t}_{1} = {V}_{b} \times t \tag{2} \]
(1) \( \div \left( 2\right) : \frac{t}{{t}_{1}} = \frac{{t}_{2}}{t}\; \Rightarrow \;t = \sqrt{{t}_{1} \times {t}_{2}} \) .
2 典型问题
例1:从夏洛特(Charlotte)到阿什维尔(Asheville)约120英里。若R.C.需在2小时内完成行程,但前60英里以 \( {50}\mathrm{{mph}} \) 行驶,后半程需以多快车速才能准时到达?(A) \( {70}\mathrm{{mph}}\; \) (B) \( {75}\mathrm{{mph}}\; \) (C) \( {77.2}\mathrm{{mph}}\; \) (D) \( {80}\mathrm{{mph}}\; \) (E)以上皆非
解答:(B)。
| \( C - X \) | 50 | ✘ | \( {t}_{1} \) | = | 60 |
| + | + | ||||
| \( X - A \) | \( {r}_{2} \) | ✘ | \( {t}_{2} \) | = | \( {120} - {60} \) |
| = | \( = \) | ||||
| \( C - A \) | \( r \) | ✘ | 2 | \( = \) | 120 |
方法1: \( t = {t}_{1} + {t}_{2}\; \Rightarrow \;\frac{60}{50} + \frac{{120} - {60}}{{r}_{2}} = 2\; \Rightarrow \;{r}_{2} = {75} \) 。
方法2:在前60英里中,根据(1.3),R.C.已行驶 \( {60}/{50} = 6/5 \) 小时。在接下来的60英里中,R.C.仅有4/5小时可行驶,根据(1.2),他必须达到60/(4/5)=75英里/小时。
例2. 一辆车以30英里/小时的速度从A到B行驶120英里,但返程以40英里/小时的速度行驶相同距离。往返全程的平均速度最接近:
(A) \( \frac{120}{7}\mathrm{{mph}} \) (B) \( \frac{240}{7}\mathrm{{mph}} \) (D) \( \frac{24}{7}\mathrm{{mph}} \) (E) \( {37}\mathrm{{mph}} \)
解答:(B)。
若一辆车以速率 \( {r}_{1} \) 行驶距离 \( d \) ,并以速率 \( {r}_{2} \) 返回相同距离,则
平均速度 \( = \frac{\text{ total distance }}{\text{ total time }} = \frac{2d}{d/{r}_{1} + d/{r}_{2}} = \frac{2{r}_{1}{r}_{2}}{{r}_{1} + {r}_{2}};\therefore x = \frac{2 \cdot {30} \cdot {40}}{70} = \frac{240}{7} \) 。
例3. Josh从夏洛特(Charlotte)到阿什维尔(Asheville)的平均速度为 \( {60}\mathrm{{mph}} \) 。两城相距约120英里。若他以 \( {45}\mathrm{{mph}} \) 的速度行驶了36英里,则剩余距离他以多快行驶?
(A) \( {663}/7\mathrm{{mph}} \) (B) \( {70}\mathrm{{mph}} \) (C) \( {723}/7\mathrm{{mph}} \) (D) 75英里/小时 (E) \( {82}\mathrm{{mph}} \)
解答:(B)。
设 \( X \) 为距夏洛特36英里处。
| \( C - X \) | 45 | ✘ | \( {t}_{1} \) | = | 36 |
| + | + | ||||
| \( X - A \) | \( {r}_{2} \) | ✘ | \( {t}_{2} \) | = | 120 – 36 |
| = | \( = \) | ||||
| \( C - A \) | 60 | ✘ | \( t \) | = | 120 |
方法1: \( t = {t}_{1} + {t}_{2}\; \Rightarrow \;\frac{36}{45} + \frac{{120} - {36}}{{r}_{2}} = \frac{120}{60} \Rightarrow \;{r}_{2} = {70} \) 。
方法2:根据(1.2), \( r = \frac{d}{t} \Rightarrow \;{60} = \frac{120}{\frac{36}{45} + \frac{{120} - {36}}{{r}_{2}}} \)
\[ \Rightarrow \;\frac{36}{45} + \frac{{120} - {36}}{{r}_{2}} = 2\; \Rightarrow \;\frac{84}{{r}_{2}} = 2 - \frac{36}{45} \Rightarrow \;{r}_{2} = {70}. \]
例4. 一辆汽车以 \( {40}\mathrm{{mph}} \) 的速度驶离小镇。两小时后,第二辆汽车沿同一条路以 \( {60}\mathrm{{mph}} \) 的速度从同一小镇出发。第二辆汽车需要行驶多少小时才能追上第一辆汽车?
(A) 2小时 (B) 1小时 (C) 1.5小时 (D) 4小时 (E) 3小时
解答:(D)。
在两个小时里,第一辆汽车行驶了 \( 2 \times {40} \) 英里。
根据(1.4), \( d = \left( {{r}_{A} - {r}_{B}}\right) t\; \Rightarrow \;{80} = \left( {{60} - {40}}\right) t\; \Rightarrow \;t = 4 \) 小时。
例5. (AMC 12) 约翰以每小时3英里的速度向东行走。鲍勃也向东行走,但速度为每小时5英里。如果鲍勃现在位于约翰西边1英里处,鲍勃需要多少分钟才能追上约翰?
(A) 30 (B) 50 (C) 60 (D) 90 (E) 120
解答:(A)。
方法1(官方解答):
为了追上约翰,鲍勃必须在相同时间内多走1英里。由于鲍勃的速度比约翰快 \( 5 - 3 = 2 \) 英里/小时,鲍勃追上约翰所需时间为 \( 1/2 \) 小时,即30分钟。
方法2(我们的解答):
鲍勃以 \( \left( {{r}_{B} - {r}_{J}}\right) \) 的相对速度行走,用时间 \( t \) 走完1英里。
根据(1.4), \( d = \left( {{r}_{A} - {r}_{B}}\right) t \Rightarrow \;1 = \left( {5 - 3}\right) t \Rightarrow \;t = \frac{1}{2} \) 小时 \( = {30} \) 分钟。
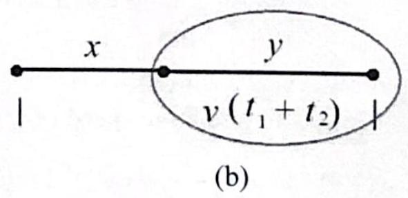
例6. (2007 AMC 10A) 严位于家和体育场之间的某处。他可以直接步行前往体育场,也可以先步行回家,再骑自行车前往体育场。他骑车的速度是步行速度的7倍,且两种选择所需时间相同。他家到当前位置的距离与当前位置到体育场的距离之比是多少?(A) \( 2/3 \) (B) \( 3/4 \) (D) \( 5/6 \) (E) \( 6/7 \)
解答:(B)。
方法1(官方解答):
设 \( w \) 为Yan的步行速度, \( x \) 和 \( y \) 分别为Yan到家的距离和到体育馆的距离。Yan步行到体育馆所需时间为 \( y = w \) ,步行回家所需时间为 \( x = w \) 。因为他以 \( {7w} \) 的速度骑自行车,从家到体育馆所需时间为 \( \left( {x + y}\right) /\left( {7w}\right) \) 。因此
\[ \frac{y}{w} = \frac{x}{w} + \frac{x + y}{7w} = \frac{{8x} + y}{7w} \]
于是 \( {7y} = {8x} + y \) ,所以 \( {8x} = {6y} \) 。所求比值为 \( x/y = 6/8 = 3/4 \) 。方法2(我们的解法):设 \( v \) 为Yan的步行速度, \( x \) 和 \( y \) 分别为Yan到家的距离和到体育馆的距离。
我们绘制如下示意图:


对于图(a),我们可以写出
\[ x = v{t}_{1} \tag{1} \]
\[ x + y = {7v}{t}_{2}\; \Rightarrow \;\left( {x + y}\right) /7 = v{t}_{2} \tag{2} \]
对于图(b),我们有 \( y = v\left( {{t}_{1} + {t}_{2}}\right) = v{t}_{1} + v{t}_{2} \) (3)
将(1)和(2)代入(3):
\[ y = x + \left( {x + y}\right) /7 \Rightarrow {7y} = {7x} + \left( {x + y}\right) \Rightarrow {6y} = {8x} \Rightarrow x/y = 6/8 = 3/4\text{.} \]
例7.(2002 AMC 10A)Earl E. Bird先生每天早上 \( 8 : {00} \) 准时离家上班。当他平均时速为40英里时,会迟到3分钟;当他平均时速为60英里时,会提前3分钟到达。Bird先生应以多少英里/小时的平均速度行驶,才能准时到达工作地点?
(A) 45 (B) 48 (C) 50 (D) 55 (E) 58
解答:(B)。
方法1(官方解答):
设 \( t \) 为Bird先生准时到达所需的小时数。
因为3分钟等于0.05小时, \( {40}\left( {t + {0.05}}\right) = {60}\left( {t - {0.05}}\right) \) 。于是 \( {40t} + 2 = {60t} - 3 \) ,所以 \( t = {0.25} \) 。从家到工作地点的距离为 \( {40}\left( {{0.25} + {0.05}}\right) = {12} \) 英里。因此,他的平均速度应为 \( {12}/{0.25} = {48} \) 英里/小时。
方法2(官方解答):
设 \( d \) 为Bird先生家到工作地点的距离,设 \( s \) 为期望的平均速度,则期望的驾驶时间为 \( d/s \) 。由于 \( d/{60} \) 比期望时间少三分钟,而 \( d/{40} \) 比期望时间多三分钟,因此期望时间应为两者的平均值,
\[ \text{so}\frac{d}{s} = \frac{1}{2}\left( {\frac{d}{60} + \frac{d}{40}}\right) \text{. Thus}\frac{1}{s} = \frac{1}{2}\left( {\frac{1}{60} + \frac{1}{40}}\right) = \frac{5}{240} = \frac{1}{48}\text{, so}s = {48}\text{.} \]
方法3(我们的解法):
设 \( d \) 为Bird先生家到工作地点的距离,设 \( t \) 为Bird先生必须行驶的小时数,以便准时到达。我们将三分钟转换为 \( \frac{1}{20} \) 小时。
当他以40英里/小时(miles per hour)的平均速度行驶时,他到达工作地点会迟到三分钟。因此我们有 \( \frac{d}{40} = t + \frac{1}{20} \) (1)当他以60英里/小时(miles per hour)的平均速度行驶时,他会提前三分钟到达。
因此我们有 \( \frac{d}{60} = t - \frac{1}{20} \) (2)
(1)+(2): \( \frac{d}{60} + \frac{d}{40} = {2t}\; \Rightarrow \;\frac{d}{t} = \frac{2}{\frac{1}{40} + \frac{1}{60}} = {48} \) .
例8.(AMC 12)Sunny以恒定速率奔跑,而Moonbeam的奔跑速度是Sunny的 \( m \) 倍,其中 \( m \) 是一个大于1的数。如果Moonbeam让Sunny先跑 \( h \) 米,那么Moonbeam必须跑多少米才能追上Sunny?
(A) \( {hm} \) (B) \( \frac{h}{h + m} \) (C) \( \frac{h}{m - 1} \) (D) \( \frac{hm}{m - 1} \) (E) \( \frac{h + m}{m - 1} \)
解答:(D)。
方法1(官方解法):
设 \( x \) 为Moonbeam追上Sunny所需跑的米数,设 \( r \) 和 \( {mr} \) 分别为Sunny和Moonbeam的速率。由于Sunny在Moonbeam跑 \( x \) 米的相同时间内跑了 \( x \) \( - h \) 米,因此 \( x - h/r = \) \( x/{mr} \) 。解出 \( x \) ,我们得到 \( x = {hm}/m - 1 \) 。
方法2(我们的解法):
设 \( {V}_{m} \) 和 \( {V}_{s} \) 分别为Moonbeam和Sunny的速度。设 \( t \) 为Moonbeam追上Sunny所需的时间。设 \( d \) 为Moonbeam必须跑的距离才能追上Sunny。
\[ \left( {{V}_{M} - {V}_{S}}\right) t = h \tag{1} \]
我们知道 \( {V}_{M} = m{V}_{S}\; \Rightarrow \;\frac{{V}_{M}}{m} = {V}_{S} \) (2)
将(2)代入(1): \( \left( {{V}_{M} - \frac{{V}_{M}}{m}}\right) t = h \Rightarrow {V}_{M}\left( {1 - \frac{1}{m}}\right) t = h \Rightarrow \)
\[ {V}_{M}t = \frac{h}{1 - \frac{1}{m}} = \frac{hm}{m - 1} = d. \]
例9.(AMC 12)在一场 \( h \) 米赛跑中,当Sunny冲过终点时,他恰好领先Windy \( d \) 米。下一次比赛时,Sunny礼貌地让Windy在起跑线,而自己在Windy后方 \( d \) 米处起跑。两位选手都以与第一次比赛相同的恒定速度奔跑。当Sunny完成第二场赛跑时,他领先多少米?
(A) \( \frac{d}{h} \) (B) 0 (C) \( \frac{{d}^{2}}{h} \) (D) \( \frac{{h}^{2}}{d} \) (E) \( \frac{{d}^{2}}{h - d} \)
解答:(C)。
方法1(官方解答):设 \( r \) 为Sunny的速度。于是 \( h/r \) 和 \( \left( {h + d}\right) /r \) 分别是Sunny跑完 \( h \) 米和 \( h + d \) 米所需的时间。由于当Sunny跑 \( h \) 米时,Windy只跑了 \( h - d \) 米,因此Windy的速度为 \( \left( {h - d}\right) r/h \) 。于是,当Sunny跑 \( h + d \) 米时,Windy跑的距离为 \( \left( {h - d}\right) r/h \cdot \left( {h + d}\right) /r = \left( {{h}^{2} - {d}^{2}}\right) /h = h - {d}^{2}/h \) 。Sunny领先Windy的胜差为 \( {d}^{2}/h \) 。
方法2:假设 \( h = {100}, d = {10} \) ,且第一场比赛用时10秒。那么Sunny跑了 \( {10}\mathrm{\;m}/\mathrm{s} \) ,Windy跑了 \( 9\mathrm{\;m}/\mathrm{s} \) 。在第二场100米比赛中,Sunny用11秒跑完110米。这段时间内Windy只跑了 \( {11}\left( 9\right) = {99} \) 米,因此Sunny领先1米完赛。将 \( h \) 和 \( d \) 的值代入各选项,只有选项 \( \mathrm{C} \) 得到结果为1。
例10. Alex和Bob在一条周长500米的环形跑道上跑步,两人速度不同。若他们同时同地出发但反向而行,首次相遇需75秒。已知Bob的速度为180米/分钟,求Alex的速度。
(A) 220 (C) 260 (D) 290 (E) 120
解答:(A)。
方法1:
将75秒换算为分钟得1.25分钟。由于Alex和Bob反向而行,两人首次相遇时跑过的距离之和恰为跑道周长。1.25分钟内,Bob跑了180 \( \times {1.25} = {225} \) 米。因跑道周长为500米,Alex跑了 \( {500} - {225} = {275} \) 米。Alex的速度为 \( {275}/{1.25} = {220} \) 米/秒。
方法2:
当他们相向而行时,其中一人静止,另一人的相对速度为 \( {r}_{A} + {r}_{B} \) 。由(1.6)得
\[ d = \left( {{r}_{A} + {r}_{B}}\right) t \Rightarrow \;{500} = \left( {{r}_{A} + {180}}\right) \times {1.25} \Rightarrow \;{r}_{A} = \frac{500}{1.25} - {180} = {220}. \]
例11. 车A与车B同时相向而行。若车A提前 \( x \) 分钟出发,两车将比平常提前30分钟相遇。车A速度为 \( {60}\mathrm{\;{km}}/\mathrm{h} \) ,车B速度为 \( {40}\mathrm{\;{km}}/\mathrm{h} \) 。求 \( x \) ? (A) \( {20}\mathrm{\;{min}} \) 。 (B) \( {50}\mathrm{\;{min}} \) 。 (C) \( {60}\mathrm{\;{min}} \) 。 (D) 90分钟。
解答:(B)。
方法1:
下图描绘了车A与车B同时相向而行的情形。

由(1.6)得 \( d = \left( {{r}_{A} + {r}_{B}}\right) t\; \Rightarrow \;d = \left( {{60} + {40}}\right) \times t \) (1)
当A车提前30分钟(即0.5小时)出发时,我们得到不同的结果。

\( d = {60} \times x + \left( {{60} + {40}}\right) \times \left( {t - {0.5}}\right) \) (2)
联立(1)和(2)解得:
\( {60} \times x + \left( {{60} + {40}}\right) \times \left( {t - {0.5}}\right) = \left( {{60} + {40}}\right) \times t\; \Rightarrow \;{60} \times x + {100t} - {50} = {100t} \)
\( \Rightarrow \;x = \frac{50}{60} \) 小时 \( = {50} \) 分钟。
方法二:
由于若A车提前 \( x \) 分钟出发,两车将提前30分钟(0.5小时)相遇,在这30分钟内,A车行驶了 \( {60} \times {0.5} = {30}\mathrm{\;{km}} \) ,B车行驶了 \( {40} \times {0.5} = {20}\mathrm{\;{km}} \) 。因此A车实际在1小时(30分钟+30分钟)内行驶了 \( {50}\mathrm{\;{km}} \) 。故A车提前 \( {50}/{60} = {50} \) 分钟出发。
例12. 一架飞机顺风飞行,5小时飞行1200英里;返程逆风,耗时6小时。求飞机的巡航速度(cruising speed)和风速(wind speed)(假设两者均为常数)。
(A) \( {220}\mathrm{{mph}},{20}\mathrm{{mph}} \) (B) \( {220}\mathrm{{mph}},{40}\mathrm{{mph}} \) (C) \( {230}\mathrm{{mph}},{20}\mathrm{{mph}} \)
(D) \( {230}\mathrm{{mph}},{40}\mathrm{{mph}} \) (E) \( {240}\mathrm{{mph}},{20}\mathrm{{mph}} \)
解:(A)。
设 \( {r}_{E} \) 为巡航速度, \( {r}_{C} \) 为风速。
由(1.9)得 \( t = \frac{d}{{r}_{E} + {r}_{C}} \Rightarrow 5 = \frac{1200}{{r}_{E} + {r}_{C}} \Rightarrow \;{r}_{E} + {r}_{C} = \frac{1200}{5} = {240} \) (1)
由(1.11)得 \( t = \frac{d}{{r}_{E} - {r}_{C}} \Rightarrow 6 = \frac{1200}{{r}_{E} - {r}_{C}} \Rightarrow \;{r}_{E} - {r}_{C} = \frac{1200}{6} = {200} \) (2)
由此得到一个方程组。 \( {r}_{E} = {220},{r}_{C} = {20} \) 。
例13. 河水流速恒定。一艘在静水中速度恒定的汽艇从港口 \( A \) 驶往港口 \( B \) ,然后返回起点。全程耗时两小时。返程时因顺流,每小时速度增加 \( 8\mathrm{\;{km}} \) 。第二小时行驶的距离比第一小时多 \( 6\mathrm{\;{km}} \) 。求 \( A \) 与 \( B \) 之间的距离。
(A) \( {20}\mathrm{\;{km}} \) (B) \( {15}\mathrm{\;{km}} \) (C) \( {26}\mathrm{\;{km}} \) (D) \( {29}\mathrm{\;{km}} \) (E) \( {12}\mathrm{\;{km}} \)
解:(B)。
船逆流从 \( A \) 到 \( C \) 需1小时,再走 \( C - B - C - A \) 又需1小时。因 \( C - B - C - A \) 比 \( A \) 到 \( C \) 长 \( 6\mathrm{\;{km}} \) ,故 \( C \) 到 \( B \) 的距离为 \( 3\mathrm{\;{km}} \) 。

设 \( t \) 为船从 \( C \) 到 \( B,{r}_{E} \) 的时间, \( C \) 为引擎速度, \( {r}_{C} \) 为水流速度。
我们有 \( \left( {{r}_{E} - {r}_{C}}\right) + 8 = \left( {{r}_{E} + {r}_{C}}\right) \) (1)
\( \left( {{r}_{E} - {r}_{C}}\right) \times 1 + 6 = \left( {{r}_{E} - {r}_{C}}\right) \times t + \left( {{r}_{E} + {r}_{C}}\right) \left( {1 - t}\right) \) (2)
由(1)得: \( {r}_{C} = 4 \) 。将此值代入(2)并解 \( t \) ,得: \( t = \frac{1}{4} \) 。
船在 \( \frac{1}{4} \) 小时内行驶 \( 3\mathrm{\;{km}} \) 。因它在 \( \left( {1 + \frac{1}{4}}\right) \) 小时内行驶 \( x\mathrm{\;{km}} \) ,故 \( x = {15} \) \( \mathrm{{km}} \) 。
例14. 贝齐和亚历克斯从同一点出发,沿周长400米的环形跑道反向跑步。相遇后,贝齐速度增加2米/秒,亚历克斯速度减少2米/秒。两人均在24秒后回到起点。求贝齐的初始速度。
(A) \( {13}\frac{1}{2}\mathrm{\;m}/\mathrm{s} \) (B) \( 7\mathrm{\;m}/\mathrm{s} \) (C) \( 7\frac{2}{3}\mathrm{\;m}/\mathrm{s} \) (D) \( \frac{22}{3}\mathrm{\;m}/\mathrm{s} \) (E) \( {12}\mathrm{\;m}/\mathrm{s} \)
解答:(D)。
因速度变化前后两人速度之和不变,故相遇时间亦相同。已知速度变化后24秒再次相遇,故速度变化前相遇时间亦为24秒。
设 \( {r}_{B} \) 为贝齐初始速度,则 \( {r}_{B} + 2 \) 为其新速度。
贝齐跑完一圈,48秒内跑400米,故有 \( {24}{r}_{B} + {24}\left( {{r}_{B} + 2}\right) = {400} \) 。
解 \( {r}_{B} \) ,得 \( {r}_{B} = \frac{22}{3}\mathrm{\;m}/\mathrm{s} \) 。
例15. (AMC 12) 两游泳者位于90英尺泳池两端,分别以3英尺/秒和2英尺/秒的速度往返游动,持续12分钟。假设转身不耗时,求两人相遇次数。
(A) 24 (B) 21 (C) 20 (D) 19 (E) 18
解答:(C)。
方法一(官方解答):
我们绘制每位游泳者相对于时间的位置图[该图在 \( t = 3 \) (分钟)处结束]。3分钟后他们回到原位,因此在12分钟内这一循环重复了四次。由于该循环中有五次相遇,总相遇次数为 \( 4 \cdot 5 = {20} \) 。

该问题可视为周期性现象;较快游泳者的周期为60秒,较慢游泳者的周期为90秒(周期指游泳者返回起点所需的时间间隔)。共同周期为180秒即3分钟。
方法二(我们的解法):
如图所示,游泳者需 \( t \) 秒才能回到各自起始端点:
\[ \left( {3 + 2}\right) t = {90} \times 2 = {180}\; \Rightarrow \;t = {36}\text{ seconds. } \]

这意味着每36秒他们相遇一次。12分钟可换算为 \( {12} \times {60} = {720} \) 秒,因此在720秒内游泳者相遇 \( {720} \div {36} = {20} \) 次。
问题
问题1. 骑行者全程55英里小径的平均速度为15英里/小时。在30英里的上坡路段,骑行者平均速度为 \( {10}\mathrm{{mph}} \) 。下坡路段的平均速度是多少?(小径仅有上坡或下坡,无平路。)
(A) \( \frac{73}{2}\mathrm{{mph}} \) (B) \( \frac{61}{2}\mathrm{{mph}} \) (C) \( \frac{25}{3}\mathrm{{mph}} \) (D) \( \frac{36}{5}\mathrm{{mph}} \) (E) \( \frac{75}{2}\mathrm{{mph}} \)
问题2. 若汽车以50英里/小时从 \( \mathrm{A} \) 镇驶往 \( \mathrm{B} \) 镇,返程以70英里/小时行驶相同距离,求往返全程的平均速度。
(D) \( {59}\mathrm{{mph}} \) (E) \( \frac{1745}{5}\mathrm{{mph}} \)
问题3. 阿什维尔(Asheville)到罗利(Raleigh)的距离约为250英里。Acme巴士公司宣称可在9/2小时内完成行程。但司机前120英里以 \( {50}\mathrm{{mph}} \) 行驶。为按时抵达罗利,剩余路程需以多快速度行驶?
(B) \( \frac{37}{2}\mathrm{{mph}} \) (D) \( \frac{130}{3}\mathrm{{mph}} \) (E) \( \frac{1300}{21}\mathrm{{mph}} \)
问题4. 艾玛比保罗早出发30分钟。若她以 \( {60}\mathrm{{mph}} \) 行驶,保罗以 \( {70}\mathrm{{mph}} \) 行驶,保罗追上艾玛时两人各行驶了多远?
(A) 3英里 (B) 130英里 (C) 175英里 (D) 180英里 (E) 210英里
问题5. 丹尼以4英里/小时从A镇步行前往B镇,比一辆12英里/小时的汽车早出发1小时,后被汽车接走。抵达B镇后,他发现乘车时间为2小时。求 \( \mathrm{A} \) 与 \( \mathrm{B} \) 之间的距离。
(A) 30英里 (B) 50英里 (C) 75英里 (D) 80英里 (E) 20英里
问题6. 亚历克斯、鲍勃和查尔斯从同一地点出发,速度分别为每小时4、5、6英里。鲍勃比亚历克斯晚2小时出发。查尔斯必须在鲍勃出发后多久出发,才能使他们同时追上亚历克斯?
(A) \( \frac{4}{3} \) 小时 (B) 1.33 小时 (C) \( \frac{20}{3} \) 小时 (D) 1.2 小时 (E) 2.5 小时
问题7. (AMC 12) \( A \) 绕圆形跑道一圈需40秒。 \( B \) 沿相反方向跑,每15秒与 \( A \) 相遇一次。求 \( B \) 绕跑道一圈所需的时间(秒)。
(A) \( {12}\frac{1}{2} \) (B) 24 (C) 25 (D) \( {27}\frac{1}{2} \) (E) 55
问题8. 在距离为 \( d \) 的赛跑中,亚历克斯领先鲍勃40码,鲍勃领先查尔斯20码,亚历克斯领先查尔斯56码。求 \( d \) 的码数? (A) 240 (B) 210 (C) 200 (D) 190 (E) 180
问题9. 两人中午从相距60英里的两镇同时出发。一人以每小时4英里行走,但途中停留 \( 2\frac{1}{2} \) 小时;另一人以每小时3英里行走且不停留。他们多久会相遇? (A) 4 小时 (B) 6 小时 (C) 8 小时 (D) 9 小时 (E) 10 小时
问题10. \( \operatorname{Car}A \) 的速度为 \( {40}\mathrm{\;{km}}/\mathrm{h} \) 。 \( \operatorname{Car}B \) 的速度为 \( {60}\mathrm{\;{km}}/\mathrm{h} \) 。两车同时出发, \( A \) 从 \( M \) 镇驶向 \( N \) 镇, \( B \) 从 \( N \) 镇驶向 \( M \) 镇,沿同一直线公路行驶。两车相遇后, \( A \) 再经4.5小时到达 \( N \) 镇。求 \( M \) 镇与 \( N \) 镇之间的距离? (A) \( {180}\mathrm{\;{km}} \) (B) \( {120}\mathrm{\;{km}} \) (C) \( {260}\mathrm{\;{km}} \) (D) \( {290}\mathrm{\;{km}} \) (E) \( {300}\mathrm{\;{km}} \)
问题11. 亚历克斯从A镇出发,贝齐从B镇出发,相向而行。当亚历克斯走完一半路程时,贝齐走了 \( {16}\mathrm{\;{km}} \) ;当贝齐走完一半路程时,亚历克斯走了 \( {25}\mathrm{\;{km}} \) 。当亚历克斯到达B镇时,贝齐离A镇还有多远?
(A) \( 8\mathrm{\;{km}} \) (B) \( {40}\mathrm{\;{km}} \) (C) \( {20}\mathrm{\;{km}} \) (D) \( 9\mathrm{\;{km}} \) (E) \( {16}\mathrm{\;{km}} \)
问题12. 一艘船逆流从两港间航行需40分钟;顺流返回时,比静水航行少用6分钟。求返程所需的最大分钟数。
(A) 18 (B) 5 (C) 24 (D) 10 (E) 25
问题13. 一艘船顺流行驶 \( {120}\mathrm{\;{km}} \) ,再逆流行驶 \( {80}\mathrm{\;{km}} \) ,共耗时16小时;又顺流行驶 \( {60}\mathrm{\;{km}} \) ,再逆流行驶 \( {120}\mathrm{\;{km}} \) ,同样耗时16小时。求水流速度。
(A) \( \frac{5}{2}\mathrm{\;{km}}/\mathrm{h} \) (B) \( \frac{5}{3}\mathrm{\;{km}}/\mathrm{h} \) (C) \( 2\mathrm{\;{km}}/\mathrm{h} \) (D) \( \frac{3}{2}\mathrm{\;{km}}/\mathrm{h} \) (E) \( 3\mathrm{\;{km}}/\mathrm{h} \)
问题14。一条环形跑道长400米。贝齐(Betsy)和亚历克斯(Alex)同时从同一点 \( \mathrm{A} \) 出发,沿相反方向跑步。第一次相遇后,他们继续跑。贝齐再跑262/3秒到达点A,而亚历克斯再跑1分钟到达点A。求亚历克斯的速度。
(A) \( 5\mathrm{\;m}/\mathrm{s} \) (B) \( 4\mathrm{\;m}/\mathrm{s} \) (C) \( 2\mathrm{\;m}/\mathrm{s} \) (D) \( 9\mathrm{\;m}/\mathrm{s} \) (E) \( 6\mathrm{\;m}/\mathrm{s} \)
问题15。(AMC 10A)15。奥德尔(Odell)和克肖(Kershaw)在环形跑道上跑30分钟。奥德尔以 \( {250}\mathrm{\;m}/\mathrm{{min}} \) 的速度顺时针跑,使用半径50米的内道;克肖以 \( {300}\mathrm{\;m}/\mathrm{{min}} \) 的速度逆时针跑,使用半径60米的外道,且与奥德尔在同一条径向线上起跑。问:自出发后,他们相遇多少次?
(A) 29 (B) 42 (C) 45 (D) 47 (E) 50
问题16。(AMC 12)某人以恒定速率行走一段距离。若他每小时快 \( \frac{1}{2} \) 英里,则只需原时间的五分之四;若每小时慢 \( \frac{1}{2} \) 英里,则在路上多花 \( 2\frac{1}{2} \) 小时。他行走的距离(英里)为
(A) \( {13}\frac{1}{2} \) (B) 15 (C) \( {17}\frac{1}{2} \) (D) 20 (E) 25
解答
问题1。解答:(E)。
| 上坡 | 10 | ✘ | \( {t}_{1} \) | \( = \) | 30 |
| + | + | ||||
| 下坡 | \( {r}_{2} \) | ✘ | \( {t}_{2} \) | = | 55 – 30 |
| = | \( = \) | ||||
| 全程 | 15 | ✘ | 1 | = | 55 |
方法1:
\[ t = {t}_{1} + {t}_{2} \Rightarrow \frac{30}{10} + \frac{{55} - {30}}{{r}_{2}} = \frac{55}{15}\; \Rightarrow {r}_{2} = \frac{75}{2}. \]
方法2:
30英里的上坡路段耗时3小时,而25英里的下坡路段耗时 \( h \) 小时,全程平均速度为 \( \frac{55}{3 + h} = {15} \Rightarrow {55} = {45} + {15h} \Rightarrow h = 2/3 \) 英里/小时。因此下坡的平均速度为 \( \frac{25}{2/3} = \frac{75}{2} \) 。
问题2。解答:(A)。
设单程距离为 \( d \) ,速度分别为 \( {r}_{1} \) 和 \( {r}_{2} \) 。
平均速度 \( = \frac{\text{ total distance }}{\text{ total time }} = \frac{2d}{d/{r}_{1} + d/{r}_{2}} = \frac{2{r}_{1}{r}_{2}}{{r}_{1} + {r}_{2}} = \frac{2 \cdot {50} \cdot {70}}{120} = \frac{175}{3} \) 。
问题3。解答:(E)。
设 \( X \) 为距离阿什维尔(Asheville)36英里的地点。
| \( A - X \) | 50 | ✘ | \( {t}_{1} \) | = | 120 |
| + | + | ||||
| \( X - R \) | \( {r}_{2} \) | ✘ | \( {t}_{2} \) | - | 250 – 120 |
| \( = \) | \( = \) | ||||
| \( A - R \) | \( r \) | ✘ | 4.5 | \( = \) | 250 |
方法1: \( t = {t}_{1} + {t}_{2} \Rightarrow \frac{120}{50} + \frac{{250} - {120}}{{r}_{2}} = \frac{9}{2} \Rightarrow {r}_{2} = \frac{1300}{21} \) 。
方法2:在行程的第一段,司机已行驶120英里,耗时 \( {120}/{50} = {2.4} \) 小时。因此,他还剩 \( {250} - {120} = {130} \) 英里要走,并需在 \( {4.5} - {2.4} = {2.1} \) 小时内完成。第二段行程的平均速度必须为 \( {130}/{2.1} = {61.9}\mathrm{{mph}} \) 。
问题4。解答:(E)。
在30分钟(即0.5小时)内,Emma行驶了 \( {0.5} \times {60} = {30} \) 英里。
根据(1.4), \( d = \left( {{r}_{A} - {r}_{B}}\right) t\; \Rightarrow \;{30} = \left( {{70} - {60}}\right) t\; \Rightarrow \;t = 3 \) 小时。
当Paul追上Emma时,Paul已行驶 \( 3 \times {70} = {210} \) 英里。
问题5。解答:(A)。
设 \( t \) 为汽车追上行人所需的时间。
\( \left( {{12} - 4}\right) t = 4\; \Rightarrow \;t = \frac{1}{2} \)
在这段时间内,汽车行驶 \( {12} \times \frac{1}{2} = 6 \) 英里。
汽车随后行驶的距离为 \( {12} \times 2 = {24} \) ,因此从 \( A \) 到 \( B \) 的距离为6 + \( {24} = {30} \) 英里。
问题6。解答:(A)。
设 \( {t}_{B} \) 为Bob追上Alex所需的时间。
\[ \left( {5 - 4}\right) {t}_{B} = 8\; \Rightarrow \;{t}_{B} = 8\text{.} \]
在8小时内,Bob行驶 \( 5 \times 8 = {40} \) 英里,与Charles在追上Alex前行驶的距离相同。
设追上Alex所需的时间为 \( {t}_{c} \) 。由于Charles的速度为6,
\( 6{t}_{C} = {40}\; \Rightarrow \;{t}_{C} = \frac{20}{3}. \)
Charles必须在Bob出发 \( {t}_{B} - {t}_{C} = 8 - \frac{20}{3} = \frac{4}{3} = 1.\bar{3} \) 小时后启动,才能使他们同时超过Alex。
问题7。解答:(B)。
方法1(官方解法):
设 \( x \) 表示 \( {B}^{\prime } \) 的时间(秒)。设 \( l \) 代表跑道长度,我们
有 \( \frac{l}{40}\left( {15}\right) + \frac{l}{x}\left( {15}\right) = 1.\;\therefore x = {24} \) 。
方法2:
设 \( t \) 为绕跑道一圈所需的时间。那么我们有 \( \frac{15}{{40} - {15}} = \frac{t}{40} \) 。
解出 \( t \) 得到 \( t = {24} \) 秒。
方法3:
设 \( d \) 为路径长度。
由于A能在40秒内完成一圈,我们有
\[ d = {r}_{A}t = {40}{r}_{A} \tag{1} \]
由于他们每15秒相遇一次,我们有
\[ d = \left( {{r}_{A} + {r}_{B}}\right) t = {15}\left( {{r}_{A} + {r}_{B}}\right) \tag{2} \]
解方程(1)和(2),我们得到:
\[ {r}_{B} = \frac{3}{5}{r}_{A}\; \Rightarrow \;{r}_{B} = \frac{5}{3}{r}_{A} \times \frac{40}{40} = \frac{1}{24}d \Rightarrow \;d = {24}{r}_{B} \]
因此 \( \mathrm{B} \) 完成一圈需要24秒。
问题8。答案:(C)。
设 \( {v}_{A},{v}_{B},{v}_{C} \) 分别为Alex、Bob、Charles的速度。那么
(1) \( \frac{d}{{v}_{A}} = \frac{d - {40}}{{v}_{B}} \) , (2) \( \frac{d}{{v}_{B}} = \frac{d - {20}}{{v}_{C}} \) , (3) \( \frac{d}{{v}_{A}} = \frac{d - {56}}{{v}_{C}} \) ,
\( \therefore \left( 4\right) \frac{d - {40}}{{v}_{B}} = \frac{d - {56}}{{v}_{C}} \) .
将方程(4)除以 \( d/{v}_{\mathrm{B}} \) 并利用方程(2),我们得到
\[ \frac{d - {40}}{d} = \frac{d - {56}}{d - {20}}, \Rightarrow \;\frac{d - {40}}{d} = \frac{16}{20} = \frac{4}{5}.\therefore d = {200}. \]
问题9。答案:(E)。
设 \( t \) 为其中一人停下前他们所行驶的时间。
速度为 \( 4\mathrm{{mph}} \) 的人行驶了 \( {4t} + 0 \times {2.5} \) 。
速度为 \( 3\mathrm{{mph}} \) 的人行驶了 \( {3t} + {2.5} \times 3 \) 。
因此 \( {4t} + 0 \times {2.5} + {3t} + {2.5} \times 3 = {60} \) 。
解得 \( t = {7.5} \) 小时。
他们相遇需要 \( {7.5} + {2.5} = {10} \) 小时。
问题10。解答:(E)。
在4.5小时内,A车行驶了 \( {4.5} \times {r}_{A} = {4.5} \times {40} = {180}\mathrm{\;{km}} \) 。

设 \( {t}_{B} \) 为汽车 \( B \) 从城镇 \( M \) 行驶到相遇点所需的小时数。由于它们的速度之比与时间成反比,我们有
\[ \frac{40}{60} = \frac{{t}_{B}}{4.5}\; \Rightarrow \;{t}_{B} = 3\text{hours.} \]
注意 \( {t}_{B} \) 也是汽车 \( A \) 从城镇 \( M \) 行驶到相遇点所需的时间。因此,在3小时内,A车行驶的距离为 \( 3 \times {40} = {120}\mathrm{\;{km}} \) 。
于是,从城镇 \( M \) 到城镇 \( N \) 的距离为 \( {180} + {120} = {300}\mathrm{\;{km}} \) 。
问题11。解答:(A)。
设 \( d \) 为两城镇之间的总距离。
由于当Betsy行驶 \( {16}\mathrm{\;{km}} \) 时Alex已行驶了总距离的一半,根据距离-速率公式,我们有以下方程:
\[ \frac{\frac{d}{2}}{{r}_{A}} = \frac{16}{{r}_{B}} \tag{1} \]
由于当Alex行驶 \( {25}\mathrm{\;{km}} \) 时Betsy已行驶了总距离的一半,根据距离-速率公式,我们有以下方程:
\[ \frac{\frac{d}{2}}{{r}_{B}} = \frac{25}{{r}_{A}} \tag{2} \]
Alex到达B镇需要 \( \frac{d}{{r}_{A}} \) 的时间。因此,当Alex到达B镇时,Betsy已行驶了 \( \frac{d}{{r}_{A}} \times {r}_{B} \) 的距离,并且距离A镇还有 \( d - \frac{d}{{r}_{A}} \times {r}_{B} \) 。
化简方程(1),得到 \( \frac{d}{{r}_{A}}{r}_{B} = {32} \) 。
将方程(1)与(2)相乘,得到(1) \( \times \left( 2\right) \) :
\[ {\left( \frac{d}{2}\right) }^{2} = {16} \times {25}\; \Rightarrow \;d = {40}. \]
\[ d - \frac{d}{{r}_{A}} \times {r}_{B} = {40} - {32} = 8. \]
问题12。解答:(C)。
设 \( d, v \) 和 \( w \) 分别表示两镇之间的距离、逆风速度(speed against the wind)和顺风速度(speed with the wind)。由此可知飞机在静风中的速度
为 \( \frac{1}{2}\left( {v + w}\right) \) 。已知(1) \( \frac{d}{v} = {40} \) 和(2) \( \frac{d}{w} = \frac{d}{\frac{1}{2}\left( {w + v}\right) } - 6 \) 。
设 \( x = d/w \) 为所求返航时间。将其代入(2)得
\[ x = \frac{2}{\frac{w}{d}} + \frac{v}{d} - 6 = \frac{2}{\frac{1}{x} + \frac{1}{40}} - 6. \]
化简方程,得到 \( {x}^{2} - {34x} + {240} = 0 \) 。该二次方程的解为 \( x = {24} \) 和 \( x = {10} \) 。答案为24。问题13。解答:(A)。
设船在静水中的速度为 \( {r}_{E} \) ,水流速度为 \( {r}_{C} \) , \( t \) 为
时间。
当船顺流航行时,由(1.9)得: \( {t}_{1} = \frac{120}{{r}_{E} + {r}_{C}} \) (1)
当船逆流航行时,由(1.11)得:
\[ {t}_{2} = \frac{80}{{r}_{E} - {r}_{C}} \tag{2} \]
(1) \( + \left( 2\right) : {16} = \frac{120}{{r}_{E} + {r}_{C}} + \frac{80}{{r}_{E} - {r}_{C}} \) (3)
\[ \text{Similarly,}{t}_{3} = \frac{60}{{r}_{E} + {r}_{C}} \tag{4} \]
当船逆流航行时,由(1.11)得:
\[ {t}_{4} = \frac{120}{{r}_{E} - {r}_{C}} \tag{5} \]
\( \left( 4\right) + \left( 5\right) : {16} = \frac{60}{{r}_{E} + {r}_{C}} + \frac{120}{{r}_{E} - {r}_{C}} \) (6)
由(3)和(6)得 \( \frac{120}{{r}_{E} + {r}_{C}} + \frac{80}{{r}_{E} - {r}_{C}} = \frac{60}{{r}_{E} + {r}_{C}} + \frac{120}{{r}_{E} - {r}_{C}} \) 或 \( {r}_{E} = 5{r}_{C}\left( 7\right) \)
将(7)代入(3),得 \( {16} = \frac{120}{5{r}_{C} + {r}_{C}} + \frac{80}{5{r}_{C} - {r}_{C}} \Rightarrow {r}_{C} = \frac{5}{2} \) 。
问题14。解答:(B)。
方法一:
设 \( x \) 为贝齐(Betsy)的速度, \( y \) 为亚历克斯(Alex)的速度。
由于亚历克斯和贝齐在环形跑道上反向奔跑,当他们第一次相遇时,两人跑过的距离之和恰好等于环形跑道的周长。因此,
\[ {26}\frac{2}{3}x + {60y} = {400} \tag{1} \]
由于贝齐跑完与亚历克斯1
分钟所跑距离相同的路程需要26 2/3秒,我们得到以下方程。
\[ \frac{{26}\frac{2}{3}x}{y} = \frac{60y}{x} \tag{2} \]
将(2)中的项重新整理,我们得到: \( {2x} = {3y} \) (3)
将(3)代入(1),我们得到:
\[ {26}\frac{2}{3}x + {40x} = {400} \Rightarrow \;x = 6. \]
将 \( x, x = 6 \) 的值代入(1),我们得到 \( y = 4 \) 。
方法二:
根据(1.12),我们有 \( t = \sqrt{{t}_{1} \times {t}_{2}} = \sqrt{{26}\frac{2}{3} \times {60}} = \sqrt{\frac{80}{3} \times {60}} = {40} \) 。
总时间为 \( T = t + {26}\frac{2}{3} = {40} + {26}\frac{2}{3} \) 。
因此 \( x = \frac{d}{T} = \frac{400}{{40} + {26}\frac{2}{3}} = 6 \) 且 \( y = 4 \) 。
问题15。解答:(D)。
方法一(官方解答):
由于奥德尔(Odell)的速率是克肖(Kershaw)的5/6,而克肖的单圈距离是奥德尔的6/5,因此他们各自跑完一圈所需的时间相同。于是,他们每绕跑道一圈就会相遇两次。奥德尔跑
\( \left( {{30}\mathrm{\;{min}}}\right) \left( {{250}\frac{m}{\mathrm{\;{min}}}}\right) \left( {\frac{1}{100\pi }\frac{\mathrm{{laps}}}{\mathrm{m}}}\right) = \frac{75}{\pi }\mathrm{{laps}} \approx {23.87}\mathrm{{laps}} \)
克肖亦如此。因为 \( {23.5} < {23.87} < {24} \) ,所以他们相遇 \( 2\left( {23.5}\right) = {47} \) 次。
方法二(我们的解答):
假设奥德尔(Odell)不动,而克肖(Kershaw)以 \( {250} + \) 的相对速度移动
\( {300} = {550} \)
30分钟内,克肖移动了 \( {550} \times {30} = {16500} \) 。
\[ \frac{16500}{2\pi r} = \frac{16500}{{2\pi } \times \frac{{50} + {60}}{2}} = \frac{150}{\pi } \approx {47.7}\text{. So they meet 47 times.} \]
问题16。解答:(B)。
方法1(官方解答):
设 \( R \) 和 \( T \) 分别表示第一速率及对应时间。该
男子行走的距离可表示为以下表达式:
\[ {RT},\left( {R + \frac{1}{2}}\right) \frac{4}{5}T,\left( {R - \frac{1}{2}}\right) \left( {T + \frac{5}{2}}\right) \text{.} \]
由于三种行走速率及其对应时间所得距离相同,
\[ {RT} = \left( {R + \frac{1}{2}}\right) \frac{4}{5}T = \left( {R - \frac{1}{2}}\right) \left( {T + \frac{5}{2}}\right) . \]
第一个等式等价于 \( R = \frac{4}{5}\left( {R + \frac{1}{2}}\right) , \) ,因此 \( R = 2 \) ,且 \( {RT} = {2T} \) 。
将这些值代入 \( {RT} = \left( {R - \frac{1}{2}}\right) \left( {T + \frac{5}{2}}\right) \) ,我们得到
\[ {RT} = \left( {R - \frac{1}{2}}\right) \left( {T + \frac{5}{2}}\right) T = \left( {2 - \frac{1}{2}}\right) \left( {\frac{RT}{2} + \frac{5}{2}}\right) = \frac{3RT}{4} + \frac{15}{4}, \]
解 \( {RT} \) ,得 \( \frac{RT}{4} = \frac{15}{4} \) ,即 \( {RT} = {15} \) 英里。
方法2(我们的解法):
设 \( V \) 和 \( T \) 分别表示常规速率及对应时间, \( d \) 为距离。
\[ \left( {V + \frac{1}{2}}\right) \frac{4}{5}T = d \tag{1} \]
\[ \left( {V - \frac{1}{2}}\right) \left( {T + \frac{5}{2}}\right) = d \tag{2} \]
\[ {VT} = d \tag{3} \]
解方程组,得 \( V = 2 \) 和 \( T = {15}/2 \) 。因此 \( d = {VT} = {15} \) 。